近期一直在学习空气治理方面的内容,忽然对常用的酚试剂法和仲裁用的AHMT法产生了兴趣,查阅一大堆资料虽然咱对化学公式不是很明白,但是也深入的学习一些皮毛,把二个方法用自己的方式做一个归纳总结。

酚试剂(MBTH)法:
酚试剂3-甲基-2-苯并噻唑啉酮腙盐酸盐水合物(MBTH)检测原理为3-甲基-2-苯并噻唑啉酮腙盐酸盐水合物(酚试剂)对于醛类具有极高的灵敏度,空气中的甲醛与3-甲基-2-苯并噻唑啉酮腙盐酸盐水合物反应生成嗪,嗪在酸性溶液中被高铁离子氧化形成蓝绿色化合物,同时根据颜色深浅,能够比色定量甲醛的浓度。反应过程如下:

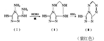
AHMT法:
4-氨基-3-肼基-5-巯基-1,2,4-三氮唑(AHMT)法的原理为 4-氨基-3-肼基-5-巯基-1,2,4-三氮唑 (AHMT) 在碱性条件下与甲醛进行缩合反应;高碘酸钾可将反应产物氧化成紫红色化合物,其颜色的深浅与甲醛含量成正比,通过体系的吸光度可计算定量甲醛的浓度。反应过程如下:

要点:
1、酚试剂(MBTH)法和AHMT法的氧化条件不同。酚试剂(MBTH)法的氧化条件是盐酸存在的酸性条件,而AHMT法则为氢氧化钾存在的碱性环境。
2、酚试剂(MBTH)法和AHMT法所用试剂类型不同。酚试剂(MBTH)法吸收液为反应物酚试剂一种,而AHMT法的吸收液为稳定剂(三乙醇胺)、抗干扰剂(EDTA)和吸附剂的组合。
3、酚试剂(MBTH)法和AHMT法的受限因素不同。酚试剂(MBTH)法反应受温度限制,如果室温低于15℃,可能导致显色不完全,吸收原液需置于冰箱中冷藏且保质期只有3天。而AHMT分光光度法抗干扰能力较强,试剂稳定,样品保留时间长达7天。
4、酚试剂(MBTH)法检测结果会受到其它脂肪醛类以及环境的干扰。
5、酚试剂(MBTH)法和AHMT 法对甲醛的灵敏度都比较高,能够满足室内空气中微量甲醛的检测。但是AHMT法具有更好的稳定性和抗干扰性,更适合于微量浓度的室内空气中甲醛检测。所以室内空气质量标准最新的民用建筑工程室内环境污染控制标准GB50325-2020中甲醛浓度测定方法均由此前的酚试剂分光法改为GB/T18204.2-2014中的第一法(仲裁法)AHMT法。
6、在实际工作中酚试剂(MBTH)采样到测出结果约要20分钟,AHMT 法采样到测出结果约要45分钟。









